USE OF INORGANIC (NPK) AND THE CHU12 MEDIUM FOR CULTIVATION OF Ankistrodesmus gracilis IN LABORATORY
Lúcia Helena Sipaúba-Tavares, Luciele Cristina Pelicioni & Alfredo Olivera
1
Centro de Aqüicultura - Universidade Estadual Paulista - Jaboticabal - SP - Brasil
ABSTRACT
Freshwater microalgae, Ankistrodesmus gracilis, were grown using two different media: a CHU12 nutrient medium and an alternative, less expensive medium, the chemical fertilizer NPK. The NPK fertilizer was used in different proportions (20:5:20, 4:14:8, 12:6:12, and 10:10:10). Similar growth was observed when using the CHU12 medium and the NPK fertilizer, but only in the proportion 20:5:20. When using the NPK fertilizer in other proportions the growth performance was lower. The alkalinity, inorganic carbon and nutrients were found to be very similar for the different proportions of NPK fertilizer used, but when using CHU12 these parameters were lower, except for conductivity and nitrate. The results showed that NPK in the 20:5:20 combination can be used directly for successful mass cultivation of A. gracilis.
Key words: culture, Ankistrodesmus gracilis, NPK, CHU12, limnological parameters.
INTRODUCTION
Inorganic fertilizers have been used more and more in aquaculture over the last few years as a way of increasing microalgae biomass.
With this in mind, this work aimed to study the use of a chemical fertilizer, NPK, in different proportions, and a CHU12 standard medium (6), which contains inorganic nutrients and is widely used to cultivate a species of chlorophycean algae, the Ankistrodesmus gracilis. This microalgae is commonly used to feed invertebrates and fish larvae (16).
The use of a complex medium with a low bacteria count is necessary to cultivate microalgae on a large scale. The water used must be treated by microfiltration and/or ultra-violet irradiation. The main requirement for any nutrient to be used in a mass production program is to be easily obtained in adequate quantities and have a low cost (8).
The need to improve the cultivation of microalgae used for the nutrition of invertebrates and fish larvae has generated many practical studies in different fields. These studies are not only of nutrition but also of the use of alternative media with low costs. Alternative media should allow efficient production of algae in the laboratory, and the algae should provide nutrition to various aquatic organisms.
These fertilizers have been shown to be efficient for plankton production, especially microalgae, which form the base of the food chain (2). Laboratory cultivation of microalgae is a very efficient way to obtain a specific diet as algal cells have an exponential growth rate and a high photosynthetic capacity, where protein is the main product of their photosynthesis.
In the laboratory, under controlled conditions, the variations in metabolic activity and in the production of metabolic products are very small. The microalgae growth only depends on the intrinsic properties of the cells, assuming that laboratory conditions are adequate.
Algae can be used directly for the nutrition of larvae or indirectly to feed several species of zooplankton which, subsequently, provide food for the cultivation of fish, shrimp and frogs. When all of the above factors are considered, studies that develop the techniques of mass microalgae production are of extreme importance.
MATERIAL AND METHODS
Microalgae Cultivation:
The microalgae were cultivated, over 14 consecutive days, in a 2 liter Erlenmeyer flask illuminated from above by a 5200 lux, "daylight", fluorescent light. The algal inoculum was obtained from the Laboratory of Algae Physiology at the Botanical DepARTment of the Federal University of São Carlos (SP, Brazil) and belongs to the algal bank that corresponds to the 005 CH strain.
Two different media were used for cultivation: CHU12 (6) which is appropriate for the vigorous growth of species that come from eutrophic environments, and the chemical fertilizer NPK (mass ratio 20:5:20, 12:6:12, 10:10:10 and 4:14:8) as powder and granulated. About 0.7g of fertilizer was added to 2L of the culture. The CHU12 medium was prepared according to CHU (6). The NPK fertilizer proportions were chosen in aleatory form including the combination of 20:5:20 that was usually found in the works for cultivation of freshwater algae in laboratory. Three replicates were used for each treatment and were kept under constant aeration.
The culture growth was followed closely to determine the variation of the number of cells throughout the period of growth. A Neubauer chamber was used for counting the cells. A growth curve was produced for each treatment and adjusted to a logistic model to discriminate between the different phases of growth. The growth rate was obtained using the exponential phase of the growth curve, representing the number of cellular divisions per day, and duplication time, also denominated division time or generation time, and was calculated from results obtained from the growth rate, according to Stein (17).
Morphological and Chemical Characteristics of the Cultivated Microalgae:
All measurements were obtained during the exponential phase of the growth curve for the cultures.
Total length: it was estimated using 50 algal cells measured by a micrometer eyepiece with a magnification of 100X.
Biovolume: it was calculated from mean cell dimensions using the most common form (elongated cell) for Ankistrodesmus gracilis, and was measured by calculating the volume of two cones. The formula is given in equation 1 (4,18,19).
(1) V = ((p .r2.h) . 2) / 3
where: V = cellular volume; r = base radius of cone; h = height of cone
Dry weight: the dry weight corresponds to the weight of the totally dehydrated body. It was determined by taking 10mL from each culture with a density of 15 x 106 cells/mL. These samples were filtered through a fiberglass filter (GFC 1.2m m pore size), previously washed in distilled water, under vacuum. Afterwards, the filter was dried at 60oC until reaching constant weigh (20).
Organic Carbon: the elemental weight in terms of total organic carbon was obtained from the relationship between the carbon content and cellular volume proposed (14) for fresh water microalgae. The formula is given in equation 2.
(2) C = 0.1204 . V1.051
where: C = organic carbon content in pg/cell; V = cellular volume
chlorophyll a : it was determined according to the technique described in literature (7) and the solvent used was 90% cold acetone, without phaeophytin correction.
Physical and Chemical Analysis of the Culture Media:
To evaluate the effect of the fertilizer in the cultivated medium, some physical and chemical variables were calculated. The analyses were made on alternate days, as:
Temperature: determined by a digital Corning PS 16 thermometer.
pH: determined by a digital PS 17 pH meter.
Conductivity: determined by a digital Corning PS 15 conductivity meter.
Alkalinity and inorganic carbon (7,10).
Nutrients: analysed using a spectrophotometer for ammonium (9) and nitrite, nitrate, orthophosphate and total phosphorous (7).
Dissolved Oxygen: determined according to the Winkler technique (7).
Variance analysis was applied to the results (ANOVA, P<0.05) and the Tukey (P<0.05) and the Duncan (P<0.05) tests were used to discriminate between the differences found.
RESULTS AND DISCUSSION
In the last few years the food quality used for cultivation has been questioned, and many alternatives for improving nutritional values as well as the quantity directly available to shrimp and fish larvae have been developing in a more intensive way. Among the alternatives, inorganic fertilizers (NPK) have become the main source of research (16).
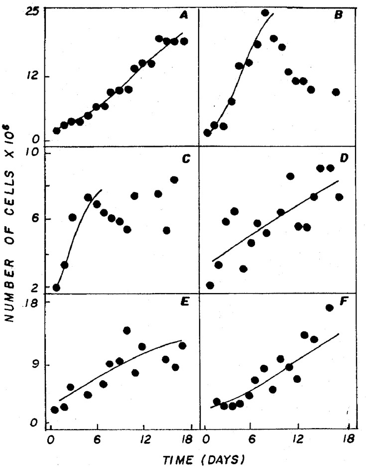
Cultures of nominally the same species often showed wide variations in cell morphology and growth rates. Relating to growth rate and cell density (Figure 1) the NPK 20:5:20 and 4:14:8 (granulate) treatments showed the best results (p<0.05), with 0.22 and 0.20 div/day, respectively (Table 1).
Table 1: Mean data and standard deviation for growth and morphological characteristics of Ankistrodesmus gracilis algae in CHU12 and NPK (20:5:20; 4:14:8; 12:6:12; 10:10:10) media.
Medium |
Cell Density x 105/ml (+) |
Cell Growth Rate (K) (+) |
Cell Volume (m m3) (-) |
Dry Weight (pg/cell) (-) |
Total Org.Carbon (pg/cell) (-) |
%TOC in relation to dry weight |
Total Length (m m) (-) |
CHU12 |
24± 1.15a |
0.44± 0.002a |
30.58± 1.63d |
128.79± 8.88d |
43.8± 0.53d |
15.0 |
2.55± 0.22a |
20:5:20 granulate |
24± 1.20a |
0.22± 0.001a |
20.35± 1.56b |
110.00± 9.98c |
32.13± 2.65b |
2.6 |
2.56± 0.21a |
12:6:12 granulate |
16± 1.07b |
0.18± 0.003b |
19.04± 1.83bc |
148.77± 11.43ab |
30.00± 1.76bc |
1.8 |
2.27± 0.22ab |
10:10:10 granulate |
9.2± 1.82c |
0.11± 0.003c |
6.89± 0.41d |
129.44± 9.56bc |
10.27± 0.98d |
0.7 |
1.80± 0.20b |
4:14:8 powder |
9.3± 1.27c |
0.10± 0.002c |
15.13± 0.93c |
149.60± 13.36ab |
23.52± 1.89c |
1.4 |
2.16± 0.31ab |
4:14:8 granulate |
9.1± 1.33b |
0.20± 0.002b |
25.64± 2.02a |
162.13± 16.32a |
40.97± 3.89a |
2.2 |
2.40± 0.26a |
abcd
: there are significant differences (p<0.05)(+) Differences found using ANOVA (p<0.05) and the Duncan test
(-) Differences found using ANOVA and the Tukey test
Figure 1: Cell density of Ankistrodesmus gracilis in NPK (A= 20:5:20 - granulate; C=10:10:10 - granulate; D= 4:14:8 - powder; E= 4:14:8 - granulate; F= 12:6:12 - granulate) and CHU12 (B) media.
Comparing the standard CHU12 medium with the one that showed the best results among the different combinations of NPK (20:5:20), there were no significant differences (p<0.05) with regard to cell density. However, for the growth rate, CHU12 with 0.44 div/day was higher than NPK (20:5:20) with 0.22 div/day. This can be reflected by the chlorophyll a levels (Figure 2), found to be similar in CHU12 and in the combination 20:5:20, while the other treatments had lower concentrations.
Figure 2: Fluctuation of chlorophyll a (not corrected for phaepigment) in Ankistrodesmus gracilis microalgae in NPK (A= 20:5:20 - granulate; C= 10:10:10 - granulate; D= 4:14:8 - powder; E= 4:14:8 - granulate; F= 12:6:12 - granulate) and CHU12 (B) media.
The total length and cell volume (Table 1) were much smaller than the values found in other research for the same species of microalgae at the same conditions (16). The microalgae metabolism variations, when compared to the components of the medium used in culture, act upon these characteristics (1).
With regard to total length, significant differences were not found (p<0.05) between the different treatments with the exception of the 10:10:10 combination. With regard to cellular volume, the best treatments were the CHU12 and the granulated 4:14:8 combination (p<0.05). For morphological variables the granulated 4:14:8 combination showed best values (Table 1).
The differences in the chemical composition of algal cells could be associated to alterations that occur in the growth phase or the source of available nutrients (16). The percentage relationship between total organic carbon and dry weight (Table 1) was greater for the CHU12 (15%) than for the inorganic fertilizer, with a 0.7 to 2.6% variation between the combinations used.
The nature and concentration of the culture medium influence the carbon content. Scenedesmus brasiliensis showed different values of carbon per unit volume for the same stock, when it was cultured in media of different concentration (14). The carbon level is an important measure that characterizes the nutritional value of algae, considered a good indicator of the quality of algal nutrients.
The maintenance of the culture in the laboratory with regard to luminosity, temperature and aeration is fundamental for the development and exponential growth of algae. Temperature affects the metabolism, the growth rates and the cellular components of the organisms (11). Temperature in the cultivation room was 22 + 1oC, similar to the temperatures noted by others authors (2, 16).
The aeration was constant and the low presence of bacterial cells was of little importance since they can be used as a food source by the zooplankton, which is a direct consumer of phytoplankton.
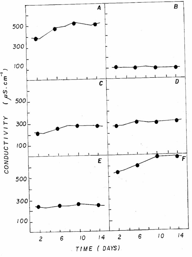
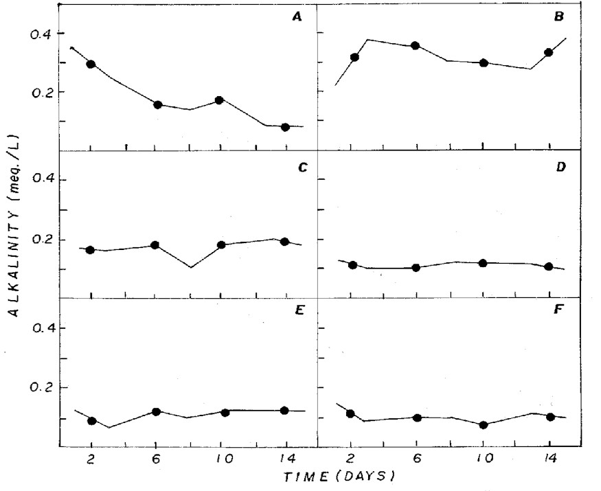
The aeration of the different culture media influenced pH, alkalinity and inorganic carbon (Figures 3, 4, 5). Aeration maintains the cells in suspension, allowing identical growth and assures the inorganic carbon supply, besides stabilizing the pH. Aeration also increases the surface culture medium, favoring gas exchanges and adding CO2 to the medium (13).
Figure 3: Fluctuation of pH in NPK (A= 20:5:20 - granulate; C= 10:10:10 - granulate; D= 4:14:8 - powder; E= 4:14:8 - granulate; F= 12:6:12 - granulate) and CHU12 (B) media.
Figure 4: Fluctuation of alkalinity in NPK (A= 20:5:20 - granulate; C= 10:10:10 - granulate; D= 4:14:8 - powder; E= 4:14:8 - granulate; F= 12:6:12 - granulate) and CHU12 (B) media.
Figure 5: Fluctuation of different forms of inorganic carbon in NPK (A= 20:5:20 - granulate; C= 10:10:10 - granulate; D= 4:14:8 - powder; E= 4:14:8 - granulate; F= 12:6:12 - granulate) and CHU12 (B) media.
pH in different combinations was usually below 7 (Figure 3), being associated to the dominance of CO2 in the medium (Figure 5) that, according to Moss (12), is one of the different forms of carbon used by some algae for photosynthesis in acid pH condition.
In CHU12 medium, bicarbonate was the predominant form of inorganic carbon (Figure 5), being associated to pH (Figure 3) that oscillated between 7.8 and 9.4. The inorganic carbon levels were greater in the NPK combinations. Most algae cells take up carbon dioxide, which diffuses readily across all membranes, when freely available. At lower external concentrations, algae may either be limited or they use bicarbonate as the carbon source (13).
The CO2 system in natural water plays a large pART in determining the qualitative composition as well as the photosynthetic activity of the freshwater phytoplankton (13). The growth rate in the CHU12 was higher with higher organic matter synthesis, which may lead to pH increase and consequently CO2 and phosphate decrease due to these compounds assimilation.
Different combinations of NPK also showed the highest values for conductivity (Figure 6) when compared to the standard CHU12 medium, due to higher availability of nutrients, pARTicularly ammonium (Table 2). Nutrient concentration is not usually the best factor for estimating the phytoplanktonic "status" because deficient cells can obtain nutrients in excess for their immediate growth (5).
Figure 6: Fluctuation of electrical conductivity in NPK (A= 20:5:20 - granulate; C= 10:10:10 - granulate; D= 4:14:8 - powder; E= 4:14:8 - granulate; F= 12:6:12 - granulate) and CHU12 (B) media
With regard to the different nitrogenous compounds (Table 2), ammonium was dominant, followed in much lower concentrations by nitrate, which can be assimilated by microalgae (3).
Table 2: Average values, during the experiment, of nutrients (µg/L) in the algal culture for different NPK combinations and with the CHU12 medium.
Medium |
Total phosphorus |
Orthophosphate |
Ammonium |
Nitrite |
Nitrate |
CHU12 |
278.00 |
8.34 |
97.55 |
* |
53.55 |
20:5:20 (granulate) |
1,185.33 |
69.56 |
837.70 |
* |
3.00 |
12:6:12 (granulate) |
1,280.00 |
39.75 |
835.56 |
* |
5.44 |
10:10:10 (granulate) |
635.78 |
66.56 |
761.33 |
0.83 |
15.43 |
4:14:8 (power) |
1,310.00 |
67.00 |
844.00 |
0.82 |
12.33 |
4:14:8 (granulate) |
1,767.50 |
62.43 |
683.11 |
* |
133.20 |
* below detection limit
The low concentrations of nitrate and nitrite could be also associated to the nitrification process in general, which is low even in optimal conditions (5). Nitrite was almost totally absent in some of the treatments.
The severe decrease in nitrogenous compounds and total phosphorous in the CHU12 medium around the seventh day was related to the fast assimilation by microalgae in the medium. Afterwards, around the eleventh day, there was a small increase of these nutrients, probably associated to the small decrease of cells in the medium during the senescent phase of the growth curve. With regard to the different NPK combinations, nitrogenous compounds and total phosphorous oscillated a lot during the period of study.
In the present study different proportions of NPK and CHU12 medium showed different growth reactions. According to Servrin-Reyssac & Pletikosic (15), an increase of nitrogen in the system with a consequent increase in N/P values is favorable for the growth of chlorophycean algae (15). This is in agreement with the findings for A. gracilis.
The results indicate that NPK in the 20:5:20 ratio can be used directly as a good alternative for the mass cultivation of A. gracilis, and indirectly in the cultivation of zooplanktonic species, as it provides good results in relation to the growth and nutritional value of algal cells.
ACKNOWLEDGMENTS
We would like to thank FAPESP (São Paulo State Foundation for Research Support) for the grants given to L.C. Pelicione and A. Olivera (numbers 94/1383-8 and 96/5897-1 respectively). We would also like to thank Silvia R.L. de Laurentiz for her help in the field and laboratory work.
RESUMO
Utilização de fertilizante inorgânico (NPK) e do meio CHU12 no cultivo de Ankistrodesmus gracilis em laboratório. Uma espécie de alga clorofícea, Ankistrodesmus gracilis, foi cultivada em dois meios de cultura, o CHU12 e em um meio alternativo de baixo custo, o adubo químico NPK em diferentes combinações 20:5:20; 4:14:8; 12:6:12 e 10:10:10. Os resultados indicaram um crescimento similar nos meios CHU12 e no NPK na proporção 20:5:20 porém, nas outras proporções, o crescimento das algas foi menor. As variáveis abióticas como alcalinidade, carbono inorgânico e nutrientes foram similares nos tratamentos com NPK, em concentrações menores no meio CHU12, com exceção da condutividade e nitrato. Os resultados obtidos demonstraram que o meio NPK na combinação 20:5:20 pode ser utilizado diretamente no cultivo da alga clorofícea Ankistrodesmus gracilis.
Palavras Chave: cultivo, alga, Ankistrodesmus gracilis, NPK, CHU12, parâmetros limnológicos
REFERENCES
Alfonso, E. ; Mariel, C.N. Uso de nuevos fertilizantes para cultivar fitoplancton. Revista de Investigaciones Marinas, VI (1):3-14, 1985.
Alfonso, E.; MARTínez, L. Cultivo de fitoplancton marino com fertilizantes inorganicos comerciales. Revista de Inestigaciones Marinas, 13(1):81-86 , 1992.
Bosstrom, B. Factors controlling the seasonal variations of nitrite in Lake Erken. Int. Revue. Ges. Hydrobiol., 66:821-836 ,1981.
Botrell, H.H.; Duncan, A.; Gliwicz, Z.M.; Grygierek, E.; Herzig, A.; Hillbricht-Ilkowska, A.; Kurasawa, H.; Larsson, P.; Weglenska, T. A review of some problems in zooplankton production studies. Norw. J. Zool., 24:419-456, 1976.
Carrick, H.J.; Schelske, C.L.; Aldridge, F.J. Assessment of phytoplankton nutrient limitation in productive waters: Application of dilution bioassays. Can. J. Fish. Aquat. Sci., 50:2208-2221, 1993.
Chu, S.P. The influence of mineral compositon of the medium of the growth of the planktonic algae. J. Ecol., 30:284-325, 1942.
Golterman, H.L.; Clymo, R.S.; Ohnstad, M.A.M. Methods for physical and chemical analysis of freshwater. Blackwell Sci. Public. London, 1978, 213 p.
Howell, B.R. Marine fish culture in Britain VIII: A marine rotifer, Brachionus plicatilis Müller, and the larvae of mussel, Mitylus edulis L., as food for larvae flat - fish. J. Cons. Int. Explor. Mer., 35:1-6, 1973.
Koroleff, F. Determination of nutrients in: Grasshof, K. (ed.). Methods of seawater analysis. Verlag Chimic Weinhen, New York, 1976, p. 117-181.
Mackereth, F.J.H.; Heron, J.; Talling, J.F. Water analysis: Some revised methods for limnologists. Freshw. Biol. Assoc., London, 1978, 119p.
Margaleff, R. Limnologia. Ediciones Omega, Barcelona, 1983, 1010 p.
Moss, B. The influence of environmental factors on the distribution of freshwater algae: An experimental study. II. The role of pH and the carbon dioxide - bicarbonate system. J. Ecol., 61(1):157-177, 1973.
Reynolds, C.S. The ecology of freshwater phytoplankton. Cambridge University Press, London, 1984, 384 p.
Rocha, O.; Duncan, A. The relationship between cell carbon and cell volume in freshwater algal species used in zooplanktonic studies. J. Plankton. Res., 7:279-294, 1985.
Servrin-Reyssac, J.; Pletikosic, M. Cyanobacteria in fish ponds. Aquaculture, 88:1-20, 1990.
Sipaúba-Tavares, L.H.; Rocha, O. Cultivo em larga escala de organismos planctônicos para alimentação de larvas e alevinos de peixes: I - Algas clorifíceas. Biotemas, 6(1):93-106, 1993.
Stein, J. Handbook of phycology methods: Culture methods and growth measurements. Cambridge University Press. London, 1973, 447 p.
Vollenweider, R.A. A manual on methods for measuring primary production in aquatic environments. Blackwell Sci. Public. London, 1974, 225 p.
Wetzel, R.G.; Likens, G.E. Limnological analyses. Springer Verlag. New York, 1991, 391p.
Winberg, G.G. Methods for estimation of production of aquatic animals. Academic Press. London, 1971, 175p.